生物訊息的理論來自於量子力學(Quantum Mechanics),量子力學對一般人來說,既熟悉又陌生,知道名詞的人很多,但不知道內容的人非常多,本篇文章有些長,我們會從物質波到波函數、量子自旋到撓場、撓場到細胞調控因子等來驗證生物訊息對細胞調控作用的關聯性,最後會介紹量子糾纏理論應用在照片檢測的依據。
1929年路易・德布羅意(Louis de Broglie)發現了電子的波動性,每一個具有質量m和速度v的物質粒子,必然有一個實在的波與之「關聯」,以如下方程式的形式與動量相關:( 如: 附件一 )

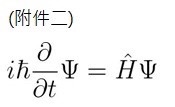
兩年後,薛丁格發表了薛丁格方程式(Schrödinger equation),也從此開啟了量子力學的新紀元,也就是波函數ψ(x)。包含時間軸的薛丁格方程式描述物理系統隨時間演化,其最廣義形式為:( 如附件二 )

我們一般會認為,粒子是一個很小的顆粒,它在每一時刻有其確定的位置。但量子力學的波函數告訴我們,粒子的位置並不確定,粒子是一個波包(wave packet) ( 如附件三 )

如圖所示,波包基本上被限制在Δx的區域內,雖然該區域之外也有很小的非零值,也就是說,如果Δx很小,我們便以為粒子的位置很確定。事實上Δx的確很小,但並不為零。
量子力學看似很複雜,但是其現象卻是在我們日常生活中隨處可見,我們先來比較一下古典物理與量子力學的差異。
運動學(Kinetics) ( 如附件四 )

動力學(Dynamics) ( 如附件五 )

測量(Measurements) ( 如附件六 )

生物訊息場就是撓場(Torsion Field),也就是量子自旋場(Spin Field),每一個基本粒子或波包的角動量疊加形成的場。 ( 如附件七 )

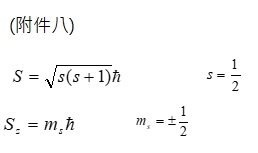
電子角動量可以分成軌道角動量和自旋角動量,自旋角動量是靜止時,電子的角動量,稱為自旋 Spin ( 如附件八 )

電子的自旋有兩個態,自旋向上及自旋向下 ( 如附件九 )

運動電子的總角動量就是自旋角動量及軌道角動量的和! ( 如附件十 )

基本粒子的正旋與逆旋的總角動量,疊加會形成一個量子自旋場,量子力學的疊加態(superposition state)是指一個量子系統的幾個量子態歸一化線性組合後得到的狀態。最常見的例子是薛丁格的貓,把一隻貓裝進密閉的盒子裡,用槍對盒子射擊,我們無法得知貓的死活,這是一個隨機事件,在量子力學中,這隻貓目前的狀態稱為死與活的疊加狀態。綜合所有量子自旋場的狀態,就如下所示一個疊加的訊息場 ( 如附件十一 )

在生物細胞的訊號傳遞上,傳統是透過訊號分子與受體分子之間的分子結構傳遞,如下圖,在生物量子學的驗證下,可以修正為水分子所記載的訊息場傳遞訊息。換言之:受體可就藉電磁場訊號直接操控其功能。也就是說,不需要特定的化學分子結構,只要訊息就可以對細胞進行調控,這是生物量子學的重大突破。 ( 如附件十二 )

最後來談為什麼透過照片可以檢測到訊息,原理來自於量子糾纏(quantum entanglement),雙光子理論可以驗證量子糾纏現象的存在。帶電粒子在旋轉時會同時釋放出兩個光子,猶如雙生子一般,這兩個光子會因共振關係形成非定域性光子糾纏,其中有一個光子受影響另一個光子無論距離多遠會立即感受到,就如同孿生子的心靈相通現象。 ( 如附件十三 )

照相是一個量子過程。在第一張照片中,光子數很少,量子效應的隨機行爲非常明顯。隨著光子數的增加,照片越來越清晰,直到達到最佳曝光值。這些照片中,牽涉的光子數從最低的3,000一直增加到最後的30,000,000。因為光子事先已經產生糾纏態,所以觀察照片上的光子,跟人體本身的狀態是一樣的。 ( 如附件十四 )

生物訊息雖然普及於日常生活中與宇宙萬物,背後卻是有深厚的量子力學為其作用提供扎實的理論基礎。
